templates cites
| ← Previous revision | Revision as of 15:46, 9 November 2025 | ||
| Line 46: | Line 46: | ||
|
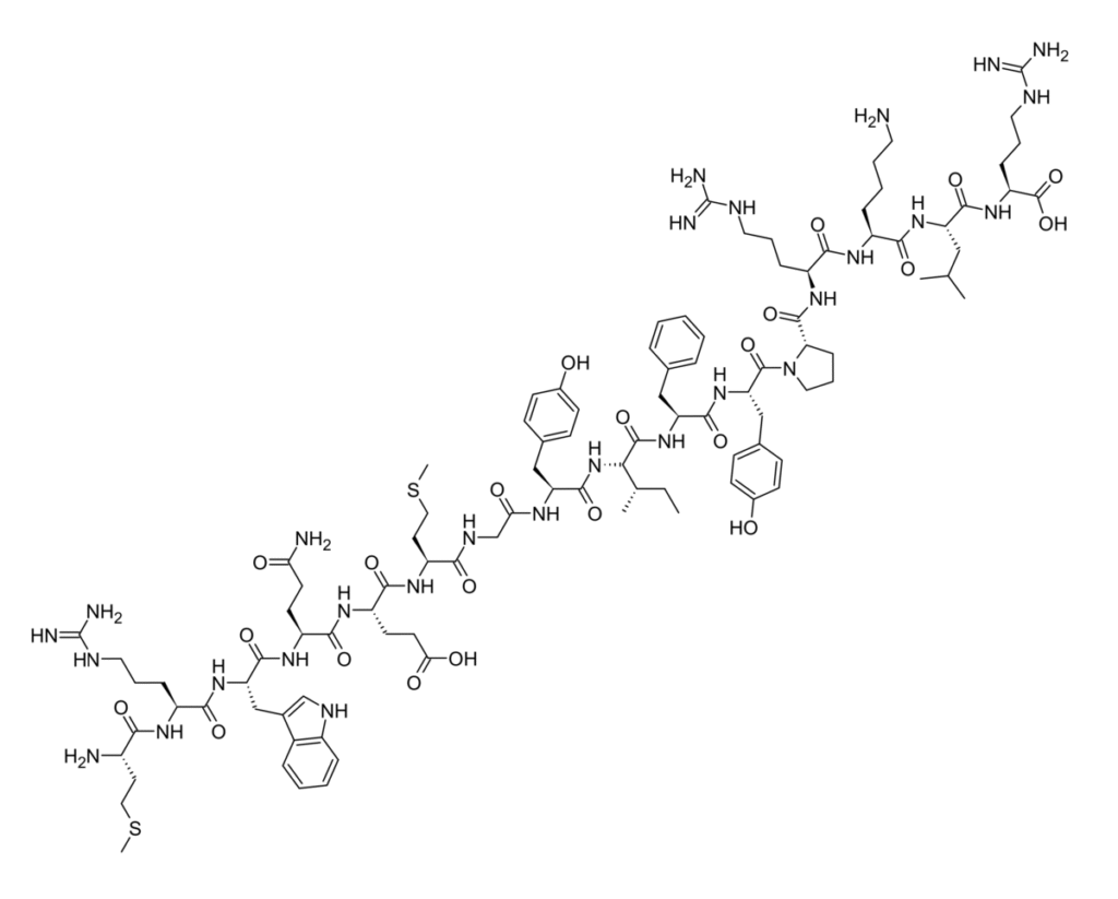
| SMILES = CC[C@H](C)[C@@H](C(=O)N[C@@H](CC1=CC=CC=C1)C(=O)N[C@@H](CC2=CC=C(C=C2)O)C(=O)N3CCC[C@H]3C(=O)N[C@@H](CCCNC(=N)N)C(=O)N[C@@H](CCCCN)C(=O)N[C@@H](CC(C)C)C(=O)N[C@@H](CCCNC(=N)N)C(=O)O)NC(=O)[C@H](CC4=CC=C(C=C4)O)NC(=O)CNC(=O)[C@H](CCSC)NC(=O)[C@H](CCC(=O)O)NC(=O)[C@H](CCC(=O)N)NC(=O)[C@H](CC5=CNC6=CC=CC=C65)NC(=O)[C@H](CCCNC(=N)N)NC(=O)[C@H](CCSC)N
|
| SMILES = CC[C@H](C)[C@@H](C(=O)N[C@@H](CC1=CC=CC=C1)C(=O)N[C@@H](CC2=CC=C(C=C2)O)C(=O)N3CCC[C@H]3C(=O)N[C@@H](CCCNC(=N)N)C(=O)N[C@@H](CCCCN)C(=O)N[C@@H](CC(C)C)C(=O)N[C@@H](CCCNC(=N)N)C(=O)O)NC(=O)[C@H](CC4=CC=C(C=C4)O)NC(=O)CNC(=O)[C@H](CCSC)NC(=O)[C@H](CCC(=O)O)NC(=O)[C@H](CCC(=O)N)NC(=O)[C@H](CC5=CNC6=CC=CC=C65)NC(=O)[C@H](CCCNC(=N)N)NC(=O)[C@H](CCSC)N
|
||
|
}}
|
}}
|
||
|
”’MOTS-c”’ (”’mitochondrial [[open reading frame]] of the 12S rRNA-c”’) is a 16-amino-acid [[peptide]] encoded in [[mitochondrial DNA]], with the [[amino acid]] sequence ”’MRWQEMGYIFYPRKLR”’.<ref>Lee C, Zeng J, Drew BG, Sallam T, Martin-Montalvo A, Wan J, Kim SJ, Mehta H, Hevener AL, de Cabo R, Cohen P
|
”’MOTS-c”’ (”’mitochondrial [[open reading frame]] of the 12S rRNA-c”’) is a 16-amino-acid [[peptide]] encoded in [[mitochondrial DNA]], with the [[amino acid]] sequence ”’MRWQEMGYIFYPRKLR”’.<ref>Lee C, Zeng J, Drew BG, Sallam T, Martin-Montalvo A, Wan J, Kim SJ, Mehta H, Hevener AL, de Cabo R, Cohen P The mitochondrial-derived peptide MOTS-c promotes metabolic homeostasis and reduces obesity and insulin resistance Cell 213 |10.1016/j.cmet.2015.02.009 }}</ref> It is believed to be involved in regulating [[metabolism]] of [[glucose]] by [[skeletal muscle]] tissue. It is upregulated in response to exercise, and is considered an [[exercise mimetic]], as well as having other potential medical applications.<ref>{{cite journal |=Lee Kim Cohen |title=MOTS-c: A novel mitochondrial-derived peptide regulating muscle and fat metabolism |journal=Free Radical Biology Medicine |date= November 2016 |= |= |doi=10.1016/j.freeradbiomed.2016.05.015 }}</ref><ref>{{cite journal |last1=Dieli-Conwright |first1=Christina M. |last2=Sami |first2=Nathalie |last3=Norris |first3=Mary K. |last4=Wan |first4=Junxiang |last5=Kumagai |first5=Hiroshi |last6=Kim |first6=Su-Jeong |last7=Cohen |first7=Pinchas |title=Effect of aerobic and resistance exercise on the mitochondrial peptide MOTS-c in Hispanic and Non-Hispanic White breast cancer survivors |journal=Scientific Reports |date=19 August 2021 |volume=11 |issue=1 |pages=16916 |doi=10.1038/s41598-021-96419-z |pmid=34413391 |pmc=8376922 |bibcode=2021NatSR..1116916D |issn=2045-2322}}</ref><ref>Gao Y, Wei X, Wei P, Lu H, Zhong L, Tan J, Liu H, Liu Z MOTS-c Functionally Prevents Metabolic Disorders Metabolites 131 |10.3390/metabo13010125 }}</ref><ref>Kal S, Mahata S, Jati S, Mahata SK Mitochondrial-derived peptides: Antidiabetic functions and evolutionary perspectives Peptides 172171147 |10.1016/j.peptides.2023.171147 }}</ref><ref>Thakur R, Chauhan A, Moudgil H, Singh S, Devi R Mitochondrial-Derived Peptides: Implication in the Therapy of Neurodegenerative Diseases 2025 |10.1007/s12035-025-05198-5 }}</ref><ref>Tero-Vescan A, Degens H, Matsakas A, Ștefănescu R, Ősz BE, Slevin M Exercise-Induced Muscle-Fat Crosstalk: Molecular Mediators and Their Pharmacological Modulation for the Maintenance of Metabolic Flexibility in Aging Pharmaceuticals 188 |10.3390/ph18081222 }}</ref><ref>Ran Y, Guo Z, Zhang L, Li H, Zhang X, Guan X, Cui X, Chen H, Cheng M Mitochondria‑derived peptides: Promising microproteins in cardiovascular diseases (Review) 315 |10.3892/mmr.2025.13492 }}</ref>
|
||
|
MOTS-c binds to [[casein kinase 2]].<ref>{{cite journal |last1=Kumagai |first1=Hiroshi |last2=Kim |first2=Su-Jeong |last3=Miller |first3=Brendan |last4=Natsume |first4=Toshiharu |last5=Lee |first5=Shin Hyung |last6=Sato |first6=Ayaka |last7=Ramirez |first7=Ricardo |last8=Wan |first8=Junxiang |last9=Mehta |first9=Hemal H |last10=Yen |first10=Kelvin |last11=Cohen |first11=Pinchas |title=Casein kinase 2 is a direct binding partner and a functional target of the exercise-mimetic microprotein MOTS-c |journal=Physiology |date=May 2023 |volume=38 |issue=S1 |doi=10.1152/physiol.2023.38.S1.5725846 |s2cid=258979715 |language=en |issn=1548-9213}}</ref>
|
MOTS-c binds to [[casein kinase 2]].<ref>{{cite journal |last1=Kumagai |first1=Hiroshi |last2=Kim |first2=Su-Jeong |last3=Miller |first3=Brendan |last4=Natsume |first4=Toshiharu |last5=Lee |first5=Shin Hyung |last6=Sato |first6=Ayaka |last7=Ramirez |first7=Ricardo |last8=Wan |first8=Junxiang |last9=Mehta |first9=Hemal H |last10=Yen |first10=Kelvin |last11=Cohen |first11=Pinchas |title=Casein kinase 2 is a direct binding partner and a functional target of the exercise-mimetic microprotein MOTS-c |journal=Physiology |date=May 2023 |volume=38 |issue=S1 |doi=10.1152/physiol.2023.38.S1.5725846 |s2cid=258979715 |language=en |issn=1548-9213}}</ref>
|
||



