From Wikipedia, the free encyclopedia
Content deleted Content added
|
 |
|||
| Line 13: | Line 13: | ||
|
Power-Voltage curves are applied in many different real-world energy systems in applications. Commonly, this curve is either used to maximize power output at certain points and/or maintain system stability in high voltage operations. These curves can be applied in vastly different voltage systems and are extremely adaptable to whatever system they are implemented in, no matter if it is high voltage or low voltage. These curves allow systems to operate at their most efficient and stable working conditions whilst preventing overload or stress on the systems they are present in. They are most often used in dynamically changing systems in which these optimal factors are constantly adjusting, which causes the power voltage curves’ tip, or their most optimal point, to shift as well. These curves can be shifted alongside the factors, allowing these systems to maintain these optimal working conditions. <ref>{{Cite journal |last=Pei |first=Yangzhou |last2=Yang |first2=Jun |last3=Wang |first3=Jundong |last4=Xu |first4=Peidong |last5=Zhou |first5=Ting |last6=Wu |first6=Fuzhang |date=20 February 2023 |title=An emergency control strategy for undervoltage load shedding of power system: A graph deep reinforcement learning method |url=https://ietresearch.onlinelibrary.wiley.com/doi/10.1049/gtd2.12795 |journal=IET Generation, Transmission & Distribution |language=en |volume=17 |issue=9 |pages=2130–2141 |doi=10.1049/gtd2.12795 |issn=1751-8687 |doi-access=free}}</ref> |
Power-Voltage curves are applied in many different real-world energy systems in applications. Commonly, this curve is either used to maximize power output at certain points and/or maintain system stability in high voltage operations. These curves can be applied in vastly different voltage systems and are extremely adaptable to whatever system they are implemented in, no matter if it is high voltage or low voltage. These curves allow systems to operate at their most efficient and stable working conditions whilst preventing overload or stress on the systems they are present in. They are most often used in dynamically changing systems in which these optimal factors are constantly adjusting, which causes the power voltage curves’ tip, or their most optimal point, to shift as well. These curves can be shifted alongside the factors, allowing these systems to maintain these optimal working conditions. <ref>{{Cite journal |last=Pei |first=Yangzhou |last2=Yang |first2=Jun |last3=Wang |first3=Jundong |last4=Xu |first4=Peidong |last5=Zhou |first5=Ting |last6=Wu |first6=Fuzhang |date=20 February 2023 |title=An emergency control strategy for undervoltage load shedding of power system: A graph deep reinforcement learning method |url=https://ietresearch.onlinelibrary.wiley.com/doi/10.1049/gtd2.12795 |journal=IET Generation, Transmission & Distribution |language=en |volume=17 |issue=9 |pages=2130–2141 |doi=10.1049/gtd2.12795 |issn=1751-8687 |doi-access=free}}</ref> |
||
|
Battery management systems are applications to employ power-voltage in order to calculate the state of charge (SOC) of the batteries and allow the battery to distribute the power among the cells evenly. These systems also calculate the available power in the battery and allow the even charging of many batteries wired in series without damaging the batteries over long periods of time through overcharging or uneven charging.<ref>{{Cite journal |last=Ohirul Qays |first=Md |last2=Buswig |first2=Yonis |last3=Hossain |first3=Md Liton |last4=Abu-Siada |first4=Ahmed |date=2020-07-03 |title=Active Charge Balancing Strategy Using the State of Charge Estimation Technique for a PV-Battery Hybrid System |url=https://www.mdpi.com/1996-1073/13/13/3434 |journal=Energies |language=en |volume=13 |issue=13 |pages=3434 |doi=10.3390/en13133434 |issn=1996-1073 |doi-access=free}}</ref> Power voltage curves in battery management systems are constantly shifting due to different factors influencing the batteries, such as temperature and cell aging. These systems calculate the shift in the P-V to stabilize charging in the batteries. <ref>{{Cite journal |last=Zhou |first=Wenlu |last2=Zheng |first2=Yanping |last3=Pan |first3=Zhengjun |last4=Lu |first4=Qiang |date=2021-09-20 |title=Review on the Battery Model and SOC Estimation Method |url=https://www.mdpi.com/2227-9717/9/9/1685 |journal=Processes |language=en |volume=9 |issue=9 |pages=1685 |doi=10.3390/pr9091685 |issn=2227-9717 |doi-access=free}}</ref> |
|||
|
== References == |
== References == |
||
|
{{RefList}} |
{{RefList}} |
||
Latest revision as of 19:16, 16 October 2025
Electrical engineering term

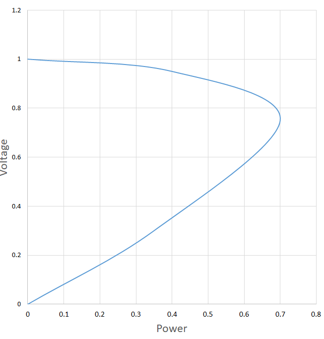
Power-voltage curve (also P-V curve) describes the relationship between the active power delivered to the electrical load and the voltage at the load terminals in an electric power system under a constant power factor.[1] When plotted with power as a horizontal axis, the curve resembles a human nose, thus it is sometimes called a nose curve.[2] The overall shape of the curve (similar to a parabola placed on its side) is defined by the basic electrical equations and does not change much when the characteristics of the system vary: leading power factor lead stretches the “nose” further to the right and upwards, while the lagging one shrinks the curve.[3] The curve is important for voltage stability analysis, as the coordinate of the tip of the nose defines the maximum power that can be delivered by the system.
As the load increases from zero, the power-voltage point travels from the top left part of the curve to the tip of the “nose” (power increases, but the voltage drops). The tip corresponds to the maximum power that can be delivered to the load (as long as sufficient reactive power reserves are available). Past this “collapse” point additional loads cause drop in both voltage and power, as the power-voltage point travels to the bottom left corner of the plot.[2] Intuitively this result can be explained when a load that consists entirely of resistors is considered: as the load increases (its resistance thus lowers), more and more of the generator power dissipates inside the generator itself (that has it own fixed resistance connected sequentially with the load).[4] Operation on the bottom part of the curve (where the same power is delivered with lower voltage – and thus higher current and losses) is not practical, as it corresponds to the “uncontrollability” region.[2]
If sufficient reactive power is not available, the limit of the load power will be reached prior to the power-voltage point getting to the tip of the “nose”. The operator shall maintain a sufficient margin between the operating point on the P-V curve and this maximum loading condition, otherwise, a voltage collapse can occur.[5]
A similar curve for the reactive power is called Q-V curve.[1]
Examples of Power-voltage Applications
[edit]
Power-Voltage curves are applied in many different real-world energy systems in applications. Commonly, this curve is either used to maximize power output at certain points and/or maintain system stability in high voltage operations. These curves can be applied in vastly different voltage systems and are extremely adaptable to whatever system they are implemented in, no matter if it is high voltage or low voltage. These curves allow systems to operate at their most efficient and stable working conditions whilst preventing overload or stress on the systems they are present in. They are most often used in dynamically changing systems in which these optimal factors are constantly adjusting, which causes the power voltage curves’ tip, or their most optimal point, to shift as well. These curves can be shifted alongside the factors, allowing these systems to maintain these optimal working conditions. [6]
Battery management systems are applications to employ power-voltage in order to calculate the state of charge (SOC) of the batteries and allow the battery to distribute the power among the cells evenly. These systems also calculate the available power in the battery and allow the even charging of many batteries wired in series without damaging the batteries over long periods of time through overcharging or uneven charging.[7] Power voltage curves in battery management systems are constantly shifting due to different factors influencing the batteries, such as temperature and cell aging. These systems calculate the shift in the P-V to stabilize charging in the batteries. [8]
- ^ a b Savulescu, Savu Crivat (2006). Real-time stability in power systems: techniques for early detection of the risk of blackout. Power electronics and power systems. New York: Springer. p. 95. ISBN 978-0-387-25626-9.
- ^ a b c Padiyar, K. R.; Kulkarni, Anil M. (2019). Dynamics and control of electric transmission and microgrids. Hoboken, NJ: John Wiley & Sons, Inc. p. 286. ISBN 978-1-119-17339-7.
- ^ Machowski, Jan; Bialek, Janusz W.; Bumby, Jim (2011-08-31). Power System Dynamics: Stability and Control. John Wiley & Sons. p. 384. ISBN 978-1-119-96505-3.
- ^ Milano, Federico (2010-09-08). Power System Modelling and Scripting. Springer Science & Business Media. pp. 32–33. ISBN 978-3-642-13669-6.
- ^ Tang, Yong (2021-04-07). Voltage Stability Analysis of Power System. Springer Nature. p. 106. ISBN 978-981-16-1071-4.
- ^ Pei, Yangzhou; Yang, Jun; Wang, Jundong; Xu, Peidong; Zhou, Ting; Wu, Fuzhang (20 February 2023). “An emergency control strategy for undervoltage load shedding of power system: A graph deep reinforcement learning method”. IET Generation, Transmission & Distribution. 17 (9): 2130–2141. doi:10.1049/gtd2.12795. ISSN 1751-8687.
- ^ Ohirul Qays, Md; Buswig, Yonis; Hossain, Md Liton; Abu-Siada, Ahmed (2020-07-03). “Active Charge Balancing Strategy Using the State of Charge Estimation Technique for a PV-Battery Hybrid System”. Energies. 13 (13): 3434. doi:10.3390/en13133434. ISSNÂ 1996-1073.
- ^ Zhou, Wenlu; Zheng, Yanping; Pan, Zhengjun; Lu, Qiang (2021-09-20). “Review on the Battery Model and SOC Estimation Method”. Processes. 9 (9): 1685. doi:10.3390/pr9091685. ISSNÂ 2227-9717.



