| ← Previous revision | Revision as of 10:19, 6 December 2025 | ||
| Line 40: | Line 40: | ||
|
}}
|
}}
|
||
|
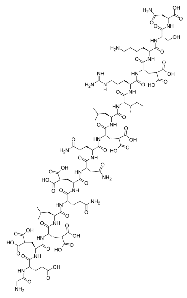
”’Conantokin G”’ is a naturally occuring 17-amino acid peptide isolated from the venom of the deadly marine cone snail ”[[Conus geographus]]”. It has [[sedative]] and [[analgesic]] effects in mice, acting as an [[NMDA receptor antagonist]].<ref>Castellino FJ, Prorok M. Conantokins: inhibitors of ion flow through the N-methyl-D-aspartate receptor channels. ”Curr Drug Targets”. 2000 Nov;1(3):219-35. {{doi|10.2174/1389450003349218}} {{pmid|11465072}}</ref><ref>Prorok M, Castellino FJ. Structure-function relationships of the NMDA receptor antagonist conantokin peptides. ”Curr Drug Targets”. 2001 Sep;2(3):313-22. {{doi|10.2174/1389450013348542}} {{pmid|11554555}}</ref><ref>Layer RT, Wagstaff JD, White HS. Conantokins: peptide antagonists of NMDA receptors. ”Curr Med Chem”. 2004 Dec;11(23):3073-84. {{doi|10.2174/0929867043363901}} {{pmid|15579001}}</ref><ref>Balsara R, Dang A, Donahue DL, Snow T, Castellino FJ. Conantokin-G attenuates detrimental effects of NMDAR hyperactivity in an ischemic rat model of stroke. ”PLoS One”. 2015 Mar 30;10(3):e0122840. {{doi|10.1371/journal.pone.0122840}} {{pmid|25822337}}</ref><ref>Reyes-Guzman EA, Vega-Castro N, Reyes-Montaño EA, Recio-Pinto E. Antagonistic action on NMDA/GluN2B mediated currents of two peptides that were conantokin-G structure-based designed. ”BMC Neurosci”. 2017 May 16;18(1):44. {{doi|10.1186/s12868-017-0361-4}} {{pmid|28511693}}</ref><ref>Xie M, Leng T, Maysami S, Pearson A, Simon R, Xiong ZG, Meller R. Changes in NMDA Receptor Function in Rapid Ischemic Tolerance: A Potential Role for Tri-Heteromeric NMDA Receptors. ”Biomolecules”. 2022 Sep 1;12(9):1214. {{doi|10.3390/biom12091214}} {{pmid|36139053}}</ref>
|
”’Conantokin G”’ is a naturally occuring 17-amino acid peptide isolated from the venom of the deadly marine cone snail ”[[Conus geographus]]”. It has [[sedative]] and [[analgesic]] effects in mice, acting as an [[NMDA receptor antagonist]].<ref>Castellino FJ, Prorok M. Conantokins: inhibitors of ion flow through the N-methyl-D-aspartate receptor channels. ”Curr Drug Targets”. 2000 Nov;1(3):219-35. {{doi|10.2174/1389450003349218}} {{pmid|11465072}}</ref><ref>Prorok M, Castellino FJ. Structure-function relationships of the NMDA receptor antagonist conantokin peptides. ”Curr Drug Targets”. 2001 Sep;2(3):313-22. {{doi|10.2174/1389450013348542}} {{pmid|11554555}}</ref><ref>Layer RT, Wagstaff JD, White HS. Conantokins: peptide antagonists of NMDA receptors. ”Curr Med Chem”. 2004 Dec;11(23):3073-84. {{doi|10.2174/0929867043363901}} {{pmid|15579001}}</ref><ref>Balsara R, Dang A, Donahue DL, Snow T, Castellino FJ. Conantokin-G attenuates detrimental effects of NMDAR hyperactivity in an ischemic rat model of stroke. ”PLoS One”. 2015 Mar 30;10(3):e0122840. {{doi|10.1371/journal.pone.0122840}} {{pmid|25822337}}</ref><ref>Reyes-Guzman EA, Vega-Castro N, Reyes-Montaño EA, Recio-Pinto E. Antagonistic action on NMDA/GluN2B mediated currents of two peptides that were conantokin-G structure-based designed. ”BMC Neurosci”. 2017 May 16;18(1):44. {{doi|10.1186/s12868-017-0361-4}} {{pmid|28511693}}</ref><ref>Xie M, Leng T, Maysami S, Pearson A, Simon R, Xiong ZG, Meller R. Changes in NMDA Receptor Function in Rapid Ischemic Tolerance: A Potential Role for Tri-Heteromeric NMDA Receptors. ”Biomolecules”. 2022 Sep 1;12(9):1214. {{doi|10.3390/biom12091214}} {{pmid|36139053}}</ref>
|
||
|
== See also ==
|
== See also ==
|
||
Conantokin G



